Конспект лекции: Цифровые измерительные мосты: классификация, обобщенная структурная схема
Цифровые мосты применяются для измерения сопротивления, емкости, индуктивности или преобразования в них других физических величин.
Цифровые мосты классифицируются по различным признакам:
- 1. Цифровые мосты подразделяются на уравновешенные и неуравновешенные. Уравновешенные мосты обеспечивают более высокую точность измерения, но требуют сложный процесс уравновешивания в автоматизированном и ручном режиме. У неуравновешенных мостов напряжение или ток в измерительной диагонали является мерой приращения измеряемого параметра по отношению к его начальному значению.
- 2. Мосты постоянного и переменного тока. Мосты постоянного тока питаются от постоянного напряжения и предназначены для измерения только сопротивления постоянному току. Мосты переменного тока - питаются от переменного тока и предназначены для измерения параметров комплексных сопротивлений, индуктивностей, емкостей, показателей качества конденсаторов и катушек индуктивности.
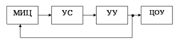
Обобщенная структурная схема цифрового моста имеет следующий вид:

Мостовая измерительная цепь МИЦ включает измеряемое сопротивление, преобразователь кода в сопротивление или проводимость, с помощью которого уравновешивается мост, источник питания. Сигнал разбаланса подается на устройство сравнения УС, которое в процессе уравновешивания на каждом такте дает на устройство управления УУ информацию о знаке этого напряжения. Как и в кодоимпульсном АЦП устройство управления содержит генератор тактовых импульсов, логические элементы (И, ИЛИ), устройство сравнения, распределитель импульсов, ЦОУ.
Внимание! Каждый электронный конспект лекций является интеллектуальной собственностью своего автора и опубликован на сайте исключительно в ознакомительных целях.
