Конспект лекции: Частотная погрешность преобразователя амплитудных значений в области низких и высоких частот
Если преобразователь амплитудных значений (ПАЗ) регулируется на некоторой частоте fг, то погрешность на частоте f можно выразить следующим образом:

Если ПАЗ регулируются на достаточно высокой частоте, то погрешность:

fн - нижняя граничная частота
γнч - допустимая частотная погрешность.
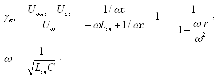
Эквивалентная схема ПАЗ на высоких частотах:

На высоких частотах неравномерность частотной характеристики определяется паразитными реактивностями ПАЗ и входной ёмкостью выпрямительного элемента.

С=Сэк+Свх,
Хс=1/j ω c.
Lэкв и Сэкв – это эквивалентная индуктивность и ёмкость монтажа.
Свх – входная ёмкость выпрямительного элемента.
Rвх – эквивалентное сопротивление нагрузки ПАЗ, определяемое разрядным сопротивлением R, сопротивлением фильтра, входным сопротивлением усилителя и разрядным сопротивлением R.
Rвх → ∞ и в области высоких частот не сказывается на работе схемы.
Относительная погрешность схемы:

Внимание! Каждый электронный конспект лекций является интеллектуальной собственностью своего автора и опубликован на сайте исключительно в ознакомительных целях.
