Конспект лекции: Операционные усилители
Операционный усилитель (ОУ) – усилитель электрических сигналов, изготовленный в виде интегральной микросхемы с непосредственными связями (УПТ) и предназначенный для выполнения различных операций над аналоговыми сигналами при работе в цепях с ООС.
По способу включения операционные усилители подразделяются на инвертирующие и неинвертирующие.
В инвертирующем усилителе используется параллельная обратная связь, а в неинвертирующем последовательная обратная связь по напряжению.
Усилитель называется инвертирующим, так как выходное напряжение противофазно (инверсно) по отношению к входному.
ОУ выпускаются с различными характеристиками и параметрами.
Как правило, рассматривают идеальный операционный усилитель, у которого Rвх=∞, Rвых=0, Коу=∞, Кос=∞, К=∞, Δiвх=0 , iвх=0.
Схемы включения ОУ:

а - инвертирующий усилитель;
б - неинвертирующий усилитель.
Инвертирующий операционный усилитель.
Для инвертирующего усилителя коэффициент усиления:

Входное и выходное сопротивления равны соответственно:

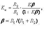
Неинвертирующий операционный усилитель.
Для неинвертирующего усилителя коэффициент усиления:

Входное сопротивление равно:

Rсф - входное сопротивление синфазному сигналу, если

то:

При большом значении петлевого усиления:

Внимание! Каждый электронный конспект лекций является интеллектуальной собственностью своего автора и опубликован на сайте исключительно в ознакомительных целях.
