Конспект лекции: Цифровые фазометры (классификация, функциональные схемы, диаграммы работы)
Компенсационные фазометры

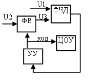
Принцип работы: одно из двух синусоидальных напряжений, в данном случае U2, поступает на фазовращатель ФВ, управляемый кодом с УУ. Фазовый сдвиг напряжения U3 относительно U2 изменяется до тех пор, пока U1 и U3 не будут синфазны. В процессе уравновешивания в знак фазового сдвига между U1 и U3 определяется с помощью фазочувствительного детектора ФЧД, выходной сигнал которого поступает на устройство управления УУ. Алгоритм уравновешивания соответствует кодоимпульсному методу. По окончанию уравновешивания код на входе ФВ выражает фазовый сдвиг между U1 и U3 и, соответственно, U1 и U2.
Компенсационный метод обладает высокой точностью, но реализуется в ручном режиме.
Применяются для измерения фазового сдвига.
Методы измерения фазы классифицируются:

Измерение фазы за один период

Принцип работы: входные синусоидальные напряжения преобразуются с помощью формирователей F1 и F2 в прямоугольные импульсы. После элемента И1 образуются прямоугольные импульсы длительностью Δt=φ/ω=φ/(2π*f).
Импульсы опорной частоты f0 от генератора G проходят через элемент И2 на счетчик СТ в течение интервала времени Δt, тогда количество импульсов N= Δt/T= Δt*f0.
Код числа N поступает на ЦОУ. Сброс счетчика происходит через период.
Из полученных выше формул получим:
в радианах N= f0* φ/(2π*f) (1);
в угловых градусах N= f0* φ/(3600*f) (2).
Выражение (1) и (2) выявляют существенный недостаток фазометра по приведенной выше схеме. Недостатком является связь между N и φ, зависящая от частоты измерения. Это означает, что либо такой фазометр можно применять при фиксированной частоте f, либо измерение φ должно сопровождается измерением частоты или периода.
Пусть например будет измеряться период Т. При измерении Δt (временной интервал) получим число NΔt= Δt*f0= φ*f0/(360*f).
При измерении Т получим число импульсов NТ=Т*f0=T/T0; φ=360* NΔt /NT. Как видим в данном случае результат измерения не зависит от f и f0.
Измерение фазы за много периодов

По сравнению с первой схемой здесь введен делитель частоты и логический элемент И3. Теперь на счетчик поступают пачки импульсов, причем количество импульсов в каждой пачке определяется выражением
N=φ*f0/(2π*f)=φ*f0*f/3600.
Пачки проходят в течении интервала времени Δtу, который задается генератором G и делителем частоты: FR, т.е. Δtу=k*T0/2=k/(2*f0), где k – коэффициент деления частоты. В таком случае количество пачек импульсов будет равно:
m= Δtу/T= Δtу*f=k*f/(2*f0).
Если m>>1, то можно пренебречь тем, что на границах Δtу могут оказаться неполные пачки и считать, что общее количество импульсов, прошедших на счетчик, будет равно Nу=m*N. Так как m= k*f/(2*f0), то N=f0*φ/(3600*f), тогда Nу=k*φ/7200 – это выражение определяет результат измерения фазового сдвига.
Выбор значений k из условия k=7200*10а обеспечивает соотношение Nу=10а*φ, т.е. φ=Nу*10-а=g*Nу, где а может принимать значения 0; 1; 2 и т.д.
Как производится Латекс ESPE.
Внимание! Каждый электронный конспект лекций является интеллектуальной собственностью своего автора и опубликован на сайте исключительно в ознакомительных целях.
