Конспект лекции: Система показателей для оценки общей эффективности инноваций
Для оценки общей экономической эффективности инноваций используют систему показателей:
- - интегральный эффект;
- - индекс рентабельности инноваций;
- - норма рентабельности;
- - период окупаемости.
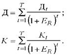
Интегральный эффект (Эин) — это разность результатов и инновационных затрат за расчетный период, приведенных к одному году (как правило, начальному), т.е. с учетом дисконтирования результатов и затрат:

где Зр — затраты расчетного года;
Pt — результат деятельности за t-й год;
Зt — инновационные затраты за t-й год;
at—коэффициент дисконтирования (дисконтный множитель).
В зависимости от условий терминология может изменяться. Так, интегральным эффектом может считаться чистый дисконтированный доход, чистая приведенная или чистая современная стоимость, чистый приведенный эффект.
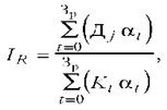
Индекс рентабельности (IR) — это отношение приведенных доходов к приведенным на эту же дату инновационным расходам:

где Дj — доход за j-й период;
Ki—размер инвестиций в инновации за i-й месяц.
В числителе формулы показан размер доходов, приведенных к моменту начала реализации инноваций, а в знаменателе — величина инвестиций в инновации, дисконтированных к моменту начала процесса инвестирования. Другими словами, сравниваются две части потока платежей — доходная и инвестиционная.
В условиях дефицита средств предпочтение должно отдаваться тем инновационным решениям, для которых значение Ir наибольшее.
Норма рентабельности (ER) представляет собой ту норму дисконта, при которой дисконтированные доходы за определенный промежуток времени становятся равными инновационным вложениям. В этом случае доходы и затраты инновационного проекта определяются путем приведения к расчетному моменту, т.е.

Другими словами, норма рентабельности характеризует уровень доходности конкретного инновационного решения через дисконтную ставку, по которой будущая стоимость денежного потока от инноваций приводится к настоящей стоимости инвестиционных средств. Показатель ER может иметь и другие названия: внутренняя норма доходности, внутренняя норма прибыли, норма возврата инвестиций.
Получаемое расчетное значение ER сравнивают с требуемой инвестором нормой рентабельности. Инновационное решение может рассматриваться только тогда, когда значение ER не меньше требуемого инвестором.
Если инновационный проект полностью финансируется за счет ссуды банка, то значение ER указывает на верхнюю границу допустимого уровня банковской процентной ставки, превышение которой делает данный проект экономически неэффективным.
Период окупаемости (То) — один из наиболее распространенных показателей оценки эффективности инвестиций. В отличие от используемых в отечественной практике показателей показатель "срок окупаемости капитальных вложений" базируется не на прибыли, а на денежном потоке с приведением инвестируемых средств в инновации и суммы денежного потока к настоящей стоимости. Инвестирование в рыночной экономике сопряжено со значительным риском, и этот риск тем больше, чем длительнее срок окупаемости вложений. Слишком существенно за это время могут измениться и конъюнктура рынка, и цены. Это актуально и для отраслей, где высоки темпы НТП и появление новых технологий или изделий быстро обесценивает прежние инвестиции.
Показатель То используют тогда, когда нет уверенности в том, что инновационное мероприятие будет реализовано, и поэтому владелец средств не рискует доверить инвестиции на длительный срок. Период окупаемости рассчитывается по формуле:
где К — первоначальные инвестиции в инновации;
Д — ежегодные денежные доходы.
Внимание! Каждый электронный конспект лекций является интеллектуальной собственностью своего автора и опубликован на сайте исключительно в ознакомительных целях.
