Конспект лекции: Анализ сравнения альтернативных проектов (NPV IRR IR To)
В основе процесса принятия управленческих решений инвестиционного характера лежат оценка и сравнение объема предполагаемых инвестиций и будущих денежных поступлений. Поскольку сравниваемые показатели относятся к различным моментам времени, ключевой проблемой здесь является проблема их сопоставимости. Относиться к ней можно по-разному в зависимости от существующих объективных и субъективных условий: темпа инфляции, размера инвестиций и генерируемых поступлений, горизонта прогнозирования, уровня квалификации аналитика и т.п.
Метод расчета чистого приведенного эффекта.
Этот метод основан на сопоставлении величины исходной инвестиции (IC) с общей суммой дисконтированных чистых денежных поступлений, генерируемых ею в течение прогнозируемого срока. Инвестиция (IC) будет генерировать в течение n лет, годовые доходы в размере Р1,Р2,…,Рn. Общая накопленная величина дисконтированных доходов (PV) и чистый приведенный эффект (NPV) соответственно рассчитываются по формулам:

Очевидно, что если: NPV > 0, то проект следует принять; NPV < 0, то проект следует отвергнуть; NPV = 0, то проект ни прибыльный, ни убыточный.
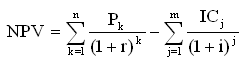
Если проект предполагает не разовую инвестицию, а последовательное инвестирование финансовых ресурсов в течение m лет, то формула для расчета NPV модифицируется следующим образом:

где i – прогнозируемый средний уровень инфляции.
Метод расчета индекса рентабельности.
Этот метод является по сути следствием предыдущего. Индекс рентабельности (PI) рассчитывается по формуле:

Очевидно, что если: PI > 1, то проект следует принять; PI < 1, то проект следует отвергнуть; PI = 1, то проект ни прибыльный, ни убыточный.
Метод расчета нормы рентабельности инвестиции.
Под нормой рентабельности инвестиции (IRR) понимают значение коэффициента дисконтирования, при котором NPV проекта равен нулю:
IRR = r, при котором NPV = f(r) = 0
IRR показывает максимально допустимый относительный уровень расходов, которые могут быть ассоциированы с данным проектом
Экономический смысл этого показателя заключается в следующем: предприятие может принимать любые решения инвестиционного характера, уровень рентабельности которых не ниже текущего значения показателя СС.
Если IRR>СС, то проект следует принять; IRR < СС, то проект следует отвергнуть; IRR = СС, то проект ни прибыльный, ни убыточный.
Метод определения срока окупаемости инвестиций.
Этот метод – один из самых простых и широко распространен в мировой учетно-аналитической практике, не предполагает временной упорядоченности денежных поступлений. Алгоритм расчета срока окупаемости (РР) зависит от равномерности распределения прогнозируемых доходов от инвестиции. Если доход распределен по годам равномерно, то срок окупаемости рассчитывается делением единовременных затрат на величину годового дохода, обусловленного им. При получении дробного числа оно округляется в сторону увеличения до ближайшего целого. Если прибыль распределена неравномерно, то срок окупаемости рассчитывается прямым подсчетом числа лет, в течение которых инвестиция будет погашена кумулятивным доходом. Общая формула расчета показателя РР имеет вид:

Анализ альтернативных проектов.
Весьма обыденной является ситуация, когда менеджеру необходимо сделать выбор из нескольких возможных для реализации инвестиционных проектов. Причины могут быть разными, в том числе и ограниченность доступных финансовых ресурсов.
Из всех рассмотренных критериев наиболее приемлемыми для принятия решений инвестиционного характера являются критерии NPV, IRR и PI.Несмотря на отмеченную взаимосвязь между этими показателями, при оценке альтернативных инвестиционных проектов проблема выбора критерия все же остается. Основная причина кроется в том, что NPV – это абсолютный показатель, а PI и IRR – относительные.
При принятии решения можно руководствоваться следующими соображениями:
- а) рекомендуется выбирать вариант с большим NPV, поскольку этот показатель характеризует возможный прирост экономического потенциала предприятия (наращивание экономической мощи предприятия является одной из наиболее приоритетных целевых установок);
- б) возможно также сделать расчет коэффициента IRR для приростных показателей капитальных вложений и доходов (последняя строка таблицы); при этом если IRR > СС, то приростные затраты оправданы и целесообразно принять проект с большими капитальными вложениями.
Наиболее предпочтительным критерием является критерий NPV. Основных аргументов в пользу этого критерия два:
Он дает вероятную оценку прироста капитала предприятия в случае принятия проекта; Он обладает свойством аддитивности, что позволяет складывать значения показателя NPV по различным проектам и использовать агрегированную величину для оптимизации инвестиционного портфеля.
Что касается показателя IRR, то он имеет ряд серьезных недостатков. Коротко охарактеризуем их:
- 1. В сравнительном анализе альтернативных проектов критерий IRR можно использовать достаточно условно.
- 2. Критерий IRR показывает лишь максимальный уровень затрат, который может быть ассоциирован с оцениваемым проектом.
- 3. Одним из существенных недостатков критерия IRR является то, что в отличие от критерия NPV он не обладает свойством аддитивности, т.е. для двух инвестиционных проектов А и Б, которые могут быть осуществлены одновременно: NPV (А + Б) = NPV(А) + NPV(Б), но IRR (А + Б) не равно IRR(А) + IRR(Б).
Лучшие морозильные лари kholodilnii-shkaf.ru.
Внимание! Каждый электронный конспект лекций является интеллектуальной собственностью своего автора и опубликован на сайте исключительно в ознакомительных целях.
