Конспект лекции: Фильтрация. Оптимальная линейная фильтрация. Выбор оптимальных параметров фильтра.
Эффективным способом снижения действия помех, а следовательно и погрешностей в АЭП является фильтрация. Особенно эффективно действие фильтрации, когда спектры полезного сигнала АЭП и помехи не перекрываются.
Оптимальная линейная фильтрация.
Пусть фильтр имеет линейную фазочастотную характеристику φ(ω)=-ωt0, тогда спектральная плотность помехи равна:
Sп(ω)в=Sп(ω)|К(jω)|2,
где К(jω) – комплексная частотная характеристика искомого фильтра.
Измерительный сигнал подвергается линейному преобразованию L, а сигнал погрешности после преобразований имеет вид: ε(t)=L[y(t)-y(t-t0)]2.
Преобразование Фурье этого сигнала: Fε[ω]=Sc(jω)e-jωt0[K(jω)-1] (1)
Энергетический спектр погрешности: Sε(ω)=SпK(ω)2+Sc(ω)[K(ω)-1]2 (2)
Найдём минимальное значение Sε(ω) из dSc(ω)/dK(ω)=0=2K(ω)Sп(ω)-2[1-K(ω)]Sc(ω) (3).
Откуда Копт=Sc(ω)/Sc(ω)+Sп(ω) (4).
Реальный фильтр имеет характеристику вида: Копт(jω)=Sc(ω)/Sc(ω)+Sп(ω)e-jωt.
Подставив (4) в (2) получим формулу для определения минимальных значений фильтрации:

Выбор оптимальных параметров фильтра.
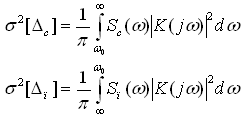
Пусть в СИ действует смесь полезного сигнала и помехи со спектральными плотностями Sc(ω), Sп(ω). Сигнал и помеха стационарно не коррелированы. Полезный сигнал менее широкополосен и его спектральная плотность снижается с ростом частоты. В этом случае существует некоторое оптимальное значение полосы пропускания частоты фильтра ω0 (ФНЧ), минимизирующие значение СКО погрешности от действия помех СИ. В качестве фильтра можно использовать один из преобразователей СИ. Определим ω0. Для этого найдём СКО погрешности от искажения измерительного сигнала при прохождении его через фильтр (σ[Δп]) и погрешности из-за прохождения части помехи через этот фильтр (σ[Δс]).

Суммарную погрешность фильтрации определим из соотношения σ2[Δ∑]=σ2[Δп]+σ2[Δс]. Решив уравнение вида: dσ2[Δ∑]/dω0=0 можно найти ω0. Если частотная характеристика средства измерения или фильтра нижних частот близка по виду к частотной характеристики идеального фильтра, то решение упрощается.

где К0 – номинальный передаточный коэффициент СИ.
Внимание! Каждый электронный конспект лекций является интеллектуальной собственностью своего автора и опубликован на сайте исключительно в ознакомительных целях.
