Конспект лекции: Анализаторы спектра случайных процессов
Структурная схема анализатора спектра случайного сигнала представлена на рисунке:

Условные обозначения:
1 – входное устройство;
2 – полосовой фильтр;
3 – квадратор;
4 – интегратор;
5 – отсчетное устройство.
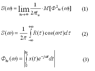
Спектральная плотность стационарного случайного процесса с нулевым математическим ожиданием определяется по формулам:

tu - время длительности импульса
R(τ) - корреляционная функция процесса;
М - знак математического ожидания.
Формула
соответствует прямому способу измерения спектральной плотности, а формула (1) – косвенному.
Прямой способ измерения спектральной плотности использует фильтрацию сигнала полосовыми фильтрами.
Необходимо, чтобы спектральная плотность сигнала была постоянной в полосе пропускания фильтра. Непостоянство вызывает погрешность смещения, которая тем меньше, чем уже полоса пропускания фильтра.
Снижение погрешности смещения за счет сужения полосы пропускания на практике приводит к увеличению числа полосовых фильтров для проведения спектрального анализа в заданном диапазоне частот.
Чтобы не пропустить узкополосных составляющих частотные характеристики фильтров должны перекрываться.
На рисунке изображена спектральная плотность случайного сигнала и выделен участок спектра, который пропускается идеальным полосовым фильтром:
Внимание! Каждый электронный конспект лекций является интеллектуальной собственностью своего автора и опубликован на сайте исключительно в ознакомительных целях.
