Конспект лекции: Масштабные преобразователи:классификация, расчет в области низких и высоких частот
Измерительный преобразователь (ИП), предназначенный для изменения значения в заданное число раз называют масштабным преобразователем (МП). Различают активные масштабные преобразователи – электронные измерительные усилители и пассивные масштабные преобразователи – делители напряжения, шунты, добавочные сопротивления и измерительные трансформаторы тока и напряжения.
Пассивные МП – делители напряжения.

Область низких частот НЧ:
U2=U1R2/(R1+R2), Кном=R2/(R1+R2) (1), Rвх=R1+R2 (2).
Резисторы выбираются путём решения уравнения (1). При неточном выборе в результате отклонения R1 и R2 от расчётных номинальных значений появляется систематическая погрешность:

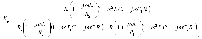
Расчёт в области высоких частот ВЧ:
Реальный передаточный коэффициент:

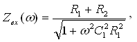
Когда рабочий диапазон частот АЭП простирается до десятков мегагерц, то наличием паразитной индуктивности элементов схемы прибора можно пренебречь: L1=L2=0, R1C1=R2C2 (условие пропускания всех частот делителя напряжения). При L1=L2=0:

Фазовый сдвиг м/д выходным напряжением равен:

При выполнении условий компенсации частотной погрешности R1C1=R2C2; φ=0. Входное сопротивление такого делителя зависит от частоты.

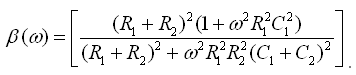
Если условия компенсации частотной погрешности не выполняется, то в АЭП возникает частная погрешность β (ω), значение которой по модулю выражается по формуле:

Активные масштабные преобразователи.
В качестве таких преобразователей используются электронные усилители.
Внимание! Каждый электронный конспект лекций является интеллектуальной собственностью своего автора и опубликован на сайте исключительно в ознакомительных целях.
