Конспект лекции: Способы коррекции и компенсации погрешностей аналоговых измерительных устройств
Существуют следующие способы:
- 1) Калибровка.
- 2) Аддитивная коррекция.
- 3) Мультипликативная коррекция.
- 4) Автоматическая коррекция способом итераций.
- 5) Способ образцовых сигналов.
Структурная схема калибровки:

1) ах=у.
2) у=ах+Δ1, х=0, у≠0.
3) у=(а+Δ2)х+Δ1. Δ1 и Δ2 - аддитивная и мультипликативная погрешности СИ.
БУ - блок управления, СС - схема сравнения, ИГ - измерительный генератор, SA1 и SA1′ - переключатели.
При переключении SA1 и SA1′ в положение 2 осуществляется калибровка. На вход СИ с СС подаётся нулевой сигнал, тогда у=Δ1=у′, т.е. на выходе СС появляется сигнал у′=Δ1. При наличии аддитивной погрешности Δ1 блок БУ изменяет параметры СИ, устраняя эту погрешность установлением нулевого выходного сигнала СИ и у=(а+Δ2)·х, затем на вход СИ подаётся сигнал х0, а на вход СС - у0. Тогда у0=(а+Δ2)·х0, далее с помощью БУ или вручную регулируется передаточный коэффициент СИ до величины а′= а-Δ2 путём установления на выходе сигнала равного у0. Затем переключатели переводятся в положение 1 и на вход СИ поступает измеряемый сигнал. В этом случае выходной сигнал в статике будет равен выходному сигналу идеального СИ с точностью до погрешностей калибровки. у=(а-Δ2+Δ2)х=ах.
Аддитивная коррекция:

При данном способе коррекции уменьшение погрешностей осуществляется за счёт смещения функции преобразования СИ. ОП - обратный преобразователь (образцовый). Используется для выявления погрешностей. Операция выявления сигнала погрешности Δх происходит в результате одновременного или равномерного вычитания 2-х сигналов. Усиленный вспомогательным каналом ВК разностный сигнал у2 используется для введения поправки СИ. Пусть СИ имеет аддитивную и мультипликативную погрешность и его выходной сигнал у1=(а+Δ2)х+Δ1. А образцовый преобразователь имеет идеальную передаточную характеристику вида:
Хок=1/а·у1=1/а·((а+Δ2)х+Δ1)=х+(Δ2х/а)+Δ1/а.
Δх=Х-Хок==-(Δ1/а+Δ2/а·х).
у=у1-у2=(а+Δ2)х+Δ1-а′(-Δ1/а+Δ2/а·х)=х(а+Δ2(1-а′/а))+Δ1(1-а′/а).
Если а′=а, то корректируется аддитивная составляющая.
Мультипликативная коррекция.

В СИ с мультипликативной коррекцией погрешностей осуществляется выделение погрешностей СИ и управление его коэффициентом преобразования СИ для минимизации этой погрешности. Таким способом можно корректировать аддитивные и мультипликативные погрешности, однако при преобладании аддитивной погрешности коррекция осуществляется лишь в одной точке шкалы СИ.
Пусть характеристика преобразования такого СИ имеет вид:
у=(а+кz)к+Δ1,
где кz - изменение коэффициента преобразования Си от действия сигнала z.
Запишем:
ун=аном·х.
Δу=у-ун=(а+кz-аном)х+Δ1.
Хок=(1/аном)х=(1/аном)(а+кz)х+Δ1/аном.
Δх=х-Хок=х-(1/аном)(а+кz)х-Δ1/аном.
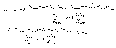
z=КномΔх+Δх1′+Δх2′Δх.

Из соотношения видно, что при Кном→∞, Δу=0, т.е. для снижения погрешности СИ необходимо увеличить коэффициент передачи вспомогательного канала ВК.
Автоматическая коррекция способом итераций.
Использование этого способа в ряде случаев позволяет свести точность измерения с помощью АЭП к точности использования образцовой меры.
Способ образцовых сигналов.

Для практической реализации способа необходимо иметь избыточность по быстродействию и набор образцовых сигналов. Где Р - включ. поочерёдно к входу образцовых значений х, СИ - система измерения, ВУ - вычислительное устройство. В случае линейного СИ можно записать для:

Где а1 и а2 - коэффициенты характеристики преобразования СИ. Решив систему уравнений получим: х=х02(у0-у1)/(у2-у1)-х01(у2-у0)/(у2-у1). Видно, что значение х не зависит от изменения параметров характеристики преобразования. Таким образом, снижается как аддитивная так и мультипликативная составляющие погрешности. Это даёт хорошие результаты, когда значения х и коэффициентов а1 и а2 не изменяются за время, необходимое для получения одного результата измерения.
Компенсация погрешностей.
В АЭП компенсация погрешностей производится способом составных параметров и компенсирующего преобразования с полной и неполной компенсацией.
Внимание! Каждый электронный конспект лекций является интеллектуальной собственностью своего автора и опубликован на сайте исключительно в ознакомительных целях.
