Конспект лекции: Классификация аналоговых электронных приборов. Обобщённая структурная схема аналогового электронного прибора
Классификация аналоговых электронных приборов (АЭП):

Обобщенная структурная схема АЭП:

Устройство преобразования (УП) состоит из одного или нескольких измерительных преобразователей (ИП), предназначенных для преобразования измеряемой величины Х в такой сигнал У, параметры которого соответствуют входным характеристикам отсчётного устройства. В УП могут входить масштабные, функциональные и другие виды ИП.
ОУ предназначены для преобразования сигналов измерительной информации У в форму, доступную для считывания значений измеряемой величины.
Образцовые средства (ОС) используют для калибровки АЭП.
Вспомогательные устройства (ВУ) не принимают непосредственного участия в преобразовании сигналов, но обеспечивают необходимые условия работы других узлов (источники питания).
Устройства преобразования и отсчёта являются необходимой принадлежностью структуры АЭП, в то время как наличие образцовых средств и вспомогательных устройств не является обязательным.
В аналоговых электронных приборах (АЭП) прямого преобразования входной сигнал х преобразуется одним или несколькими преобразователями П1, Пn в одном направлении от входа к выходу:

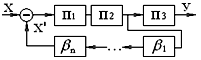
В аналоговых электронных приборах (АЭП) компенсационного преобразования входная величина х компенсируется величиной Х, представляющей собой выходную величину У, преобразованную цепью обратного преобразования. В этой группе АЭП вся цепь прямого преобразования охвачена отрицательной обратной связью.

Если в структуру АЭП введена ООС, охватывающая не все звенья цепи прямого преобразования, то такие АЭП следует отнести к разряду приборов смешанного преобразования:

Внимание! Каждый электронный конспект лекций является интеллектуальной собственностью своего автора и опубликован на сайте исключительно в ознакомительных целях.
