Конспект лекции: Сравнительный анализ структур систем управления
Выделяют несколько основных типов структур систем управления: линейная, функциональная, линейно-функциональная, матричная, дивизиональная, множественная.
В линейной структуре управления каждый руководитель обеспечивает руководство нижестоящими подразделениями по всем видам деятельности. Достоинство - простота, экономичность, предельное единоначалие. Основной недостаток - высокие требования к квалификации руководителей. Является наиболее приемлемой для простых форм организаций, хорошо работает в небольших организациях при высоком профессионализме и авторитете руководителя.
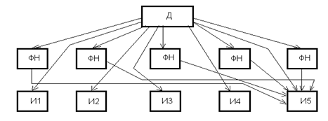
Функциональная организационная структура реализует тесную связь административного управления с осуществлением функционального управления.

Д- директор; ФН - функциональные начальники; И – исполнители
Административные связи функциональных начальников с исполнителями (И1 - И4) такие же, как и для исполнителя И5. Они не показаны в целях обеспечения ясности рисунка. В этой структуре нарушен принцип единоначалия и затруднена кооперация. Функциональная структура является наиболее широко распространенной и имеет место почти на всех предприятиях на том или ином уровне организационной структуры.
Линейно-функциональная структура – ступенчатая, иерархическая. При ней линейные руководители являются единоначальниками, а им оказывают помощь функциональные органы. Линейные руководители низших ступеней административно не подчинены функциональным руководителям высших ступеней управления.

Д- директор; ФН - функциональный начальники; ФП – функциональные подразделения; ОП - подразделения основного производства
Формирование дивизиональной (филиальной) структуры за рубежом связано с процессами "разукрупнения" гигантских корпораций в 60-е годы. Стремясь повысить гибкость и приспособляемость к изменениям во внешней среде, крупнейшие компании начали выделять из своего состава производственные отделения с предоставлением им определенной самостоятельности в осуществлении оперативного управления. При этом все важнейшие общекорпоративные функции управления оставались в ведении центрального аппарата управления, который разрабатывал стратегию развития организации в целом, решал проблемы инвестирования, научных исследований и разработок.
Структурирование организации по отделениям производится, как правило, по одному из трех критериев: по видам выпускаемой продукции или предоставляемых услуг (продуктовая специализация), по ориентации на те или иные группы потребителей (потребительская специализация), по обслуживаемым территориям (территориальная или региональная специализация). Такой подход обеспечивает более тесную связь с потребителями и рынком, существенно ускоряя реакцию организации на изменения, происходящие во внешней среде.

Матричная структура характерна тем, что исполнитель может иметь двух и более руководителей (один - линейный, другой - руководитель программы или направления). Такая схема давно применялась в управлении НИОКР, а сейчас широко применяется в фирмах, ведущих работу по многим направлениям.


Множественная структура объединяет различные структуры на разных ступенях управления. Например, филиальная структура управления может применяться для всей фирмы, а в филиалах - линейно-функциональная или матричная.
Внимание! Каждый электронный конспект лекций является интеллектуальной собственностью своего автора и опубликован на сайте исключительно в ознакомительных целях.
