Конспект лекции: Методы оценки эффективности инвестиционных проектов
Оценка эффективности реальных инвестиционных проектов проводится путем расчета:
1. Срока окупаемости инвестиций (РР).
Нужен для сравнения с другими инвесторами, для определения оптимального источника финансирования, для определения финансового результата от реализации инвестиционного проекта и привлечение этого результата в операционной деятельности, для определения возможностей использования эффекта от реализации инвестиционного проекта в других проектах с целью получения большей прибыли.
Метод не предполагает временной упорядоченности денежных поступлений. Зависит от равномерности поступления доходности от инвестиций. Если доход равномерен, то рассчитывается делением затрат на величину годового дохода, обусловленного этими затратами. Если прибыль распределена не равномерно, то рассчитывается прямым подсчетом лет, в течение которых инвестиция будет погашена. Проект принимается, если РР не превышает некоторого лимита. Недостатки показателя: не учитывает влияние доходов последних периодов; не делает различия между проектами с одинаковой суммой кумулятивных доходов, но различным распределением ее по годам; не обладает свойством аддитивности. Данный метод хорош в ситуации, когда инвестиции сопряжены с высокой степенью риска. Чем короче РР, тем менее рискованный проект. В отличие от других оценок, РР позволяет получить оценки ликвидности и рискованности проекта. РР=Суммарные инвестиции / Годовой доход.
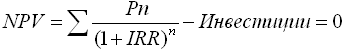
2. Чистого дисконтированного дохода (NPV)
NPV определяется как разница между суммой дисконтированных денежных поступлений от проекта и суммы дисконтированных инвестиционных затрат. Критерием для принятия инвестиционного проекта к реализации служит NPV > 1.

g - ставка дисконтирования, приравненная к приемлемой норме прибыли от инвестиций.
Недостатки: субъективный подход к определению ставки дисконтирования, однако объективная норма дисконта подбирается с учетом уровня риска, выбранного инвестором; абсолютное значение показателя; более объективную информацию этот показатель дает вместе с показателем PP.
3. Индекс рентабельности инвестиций (ARR) = NPV / Инвестиции. Если ARR>1, то проект принимается к реализации.
4. Норма рентабельности инвестиций (внутренняя норма доходности, IRR)
IRR для инвестиционного проекта равна норме дисконта, на уровне которого сумма дисконтных поступлений по проекту = дисконтным затратам и NPV = 0.

Если норма рентабельности больше средневзвешенной цены капитала проект принимается. NPV и IRR могут противоречить друг другу. Чем больше IRR по сравнению с ценой капитала, тем больше резерв безопасности. Таким образом, общий критерий: PP - min, NPV > 1, IRR > средневзвешенной цены капитала. Общая модель оценки реальной стоимости финансовых инструментов имеет вид:

Внимание! Каждый электронный конспект лекций является интеллектуальной собственностью своего автора и опубликован на сайте исключительно в ознакомительных целях.
